如何为SMD零件选择合适的载带Carrier Tape?
载带(Carrier Tape)是一种用于承载、保护、运输和自动化供给微型电子元器件或注塑件等产品的长条形带状包装材料,在电子制造业中广泛使用。它是电子元器件自动化贴装(SMT)过程中的关键耗材。如下图所示。

二,载带包装的组成
载带包装主要分为三个部分:1、载带;2,热封上带(又叫盖带);3,卷盘(又叫胶盘)。
2.1 载带(Carrier Tape)
a. 载带的细部结构与作用;
凹槽(Pocket/或叫型腔): 载带上规律排列的凹坑,用于承载单个零件,防止移动和碰撞。
定位孔(Sprocket Hole): 载带边缘的圆孔,与贴片机的齿轮啮合,实现精准步进式传送。
b. 载带的材质,厚度与颜色;
材质:一般常用有PS、PP、PC、PET等材料,其拉伸强度高、热变形温度高,收缩率小、抗磨损、成本低,适用于大多数元件。
厚度:常用有0.3mm,0.35mm,0.4mm,0.5mm等。
颜色:有透明绝缘,黑色抗静电,黑色导电三种。
c. 载带宽度EIA规格
载带宽度、定位孔间距、凹槽间距等都有国际标准(如EIA-481),确保不同厂商的元器件和贴片机兼容。
载带宽度EIA规格有:8mm,12mm,16mm,24mm,32mm,44mm,56mm,72mm,88mm,104mm,120mm,200mm等;
2.2 热封上带(Heat Activated Cover Tape、又叫盖带 或 覆盖膜)
材质:一般材料为PET材质。
尺寸:常用般为5.3mm、9.3mm、13.5mm、21.5mm、25.5mm、37.5mm、49.5mm、65.5mm等规格。
颜色:一般使用是透明和奶白两种。
拉拔力测试 通常有两种:<1>,1.30-100gf/以每分钟300mm速度;<2>,2.20-150gf以每分钟300mm速度。
2.3 卷盘(Reel)
材质:一般材料为PS材质及瓦楞纸(纸卷盘)等。
尺寸(直径):常见的有7英寸(约180mm)、13英寸(约330mm)、15英寸(约380mm)、19英寸(约480mm)等。
颜色:常见有白色,蓝色,黑色三种。

三,载带相关尺寸与细节设计规范
3.1 载带相关尺寸参考值

备注:载带宽度C≤24mm做单排定位孔;C≥32mm,做双排定位孔,也可以根据甲方客户要求而定。
3.2 载带凹槽(穴位)细节要求
产品外形中长的一边定为载带宽度,避免载带载料时穴位变形;
载带根据产品需设计凸包,凸包跟产品面间隙在0~0.1 mm之间,调机时载带凸包跟机台吸嘴位置相对,吸附时产品放置在载带凸包面上,在生产过程中防止造成产品变形;
载带根据产品需设计凸块或加强筋,凸块高度应在产品的顶面跟载带顶面之间,凸块长/宽离产品挡墙需放1.5mm~3.0 mm间隙;
产品底面与载带底面需放0.1mm~0.2mm间隙,避免产品跟载带产生干涉;
根据产品长/宽在载带穴内单边放0.2 mm间隙;
载带穴内所有长/宽方向的面均为斜面,其斜面与底面为95°左右;
四,卷盘包装尺寸
4.1 卷盘(胶盘)规格尺寸

D为胶盘外径尺寸,常用规格为7”(约180mm)、13”(约330mm)、15”(约380mm)等。
d为胶盘内轴心直径尺寸,常用规格为4”(约100mm)。
H为胶盘总高度。
载带宽度与上盖带宽度是对应匹配规格尺寸使用, 如下表所列。
4.2 卷盘包装产品数量和载带长度计算

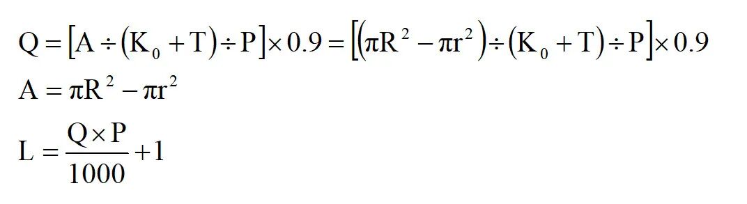
每卷包装的颗数(Q)与每卷载带缠绕的长度(L)的计算公式如下:

A 是胶盘载带的缠绕面积,单位mm^2;
R 是胶盘半径,r 是内轴心半径;
L 是载带缠绕长度,单位是米(M);
举例说明如下:
假设某产品选择载带(宽度)24mm, 上盖带选择21.3mm, 卷盘规格选用330×100×24.5mm,P(间距)取12mm,K0为7.8mm, T为0.5mm。

计算后可知:采用330×100×24.5mm规格的卷盘,每卷可装700PCS产品,绕9.4米载带。
五,载带包装设计的未来趋势与挑战
5.1 智能化与物联网融合
智能载带:集成压力传感器、温度传感器等,实时监测元器件状态,并通过物联网平台上传数据,实现故障预警。
自适应载带:利用AI算法预测运输过程中的振动频率,动态调整缓冲结构,提升保护效果。
5.2 环保与可持续发展
可降解材料:研发PLA(聚乳酸)等生物基材料,减少塑料污染。
循环利用设计:通过模块化结构实现载带重复使用,降低生产成本。
5.3 跨学科技术融合
3D打印技术:实现载带的快速定制化生产,满足小批量、多品种需求。
纳米涂层技术:提升载带表面的耐磨性和抗静电性,延长使用寿命。


请先 登录后发表评论 ~